Загрузка данных...
Добро пожаловать, Гость
Логин: Пароль: Запомнить меня
  • Страница:
  • 1
  • 2

ТЕМА:

Таблицы размерных сеток 02 сен 2013 10:59 #21

  • admin
  • admin аватар
  • Не в сети
  • Администратор
  • Администратор
  • Анна
  • Сообщений: 10968
  • Спасибо получено: 13586
Мне нужна высота именно оката. От подмышки до плеча. Внутренняя длина рукава - это по косой? Тогда не подходит :drims:
Я потом перекину в тему размеры.
Спасибо сказали: anetta

Пожалуйста Войти или Регистрация, чтобы присоединиться к беседе.

Таблицы размерных сеток 02 сен 2013 12:33 #22

  • Северянка
  • Северянка аватар
  • Не в сети
  • МЕГА вязальщица зимы
  • МЕГА вязальщица зимы
  • Катя. Счастливая мама двух дочерей!
  • Сообщений: 2522
  • Спасибо получено: 2905
Внутренняя длина рукава, это до подмышки.
Хорошо бы с вечера, ставить кошелек на подзарядку. Утром встаешь, проверяешь — полный.
silver reed 280/60; LK150; спицы, крючок
Добро пожаловать в гости
Спасибо сказали: Францевна

Пожалуйста Войти или Регистрация, чтобы присоединиться к беседе.

Таблицы размерных сеток 02 сен 2013 13:13 #23

  • admin
  • admin аватар
  • Не в сети
  • Администратор
  • Администратор
  • Анна
  • Сообщений: 10968
  • Спасибо получено: 13586
До подмышки по косой? Иначе высота оката получается для 50 роста 2см?

Пожалуйста Войти или Регистрация, чтобы присоединиться к беседе.

Таблицы размерных сеток 25 сен 2013 11:04 #24

  • V.axenowa
  • V.axenowa аватар
  • Не в сети
  • Живу я здесь
  • Живу я здесь
  • Сообщений: 2358
  • Спасибо получено: 2700
Вот у меня табличка может пригодится?

Меня зовут Валя ,а мою помощницу Silver Reed 280 60n. Ажурка, интарсия,гартер бар и (кеттельная машина Hague 280Н :greeting: ) осваиваю швейную машину Brother JS-50CE ,Brother KH-270 и ненасытный хомяк :haha:
Спасибо сказали: lеnа6322, Францевна, Олеся, Хамматуллина, ОляК, Nyha, Шанти

Пожалуйста Войти или Регистрация, чтобы присоединиться к беседе.

Таблицы размерных сеток 06 дек 2016 08:45 #25

  • admin
  • admin аватар
  • Не в сети
  • Администратор
  • Администратор
  • Анна
  • Сообщений: 10968
  • Спасибо получено: 13586
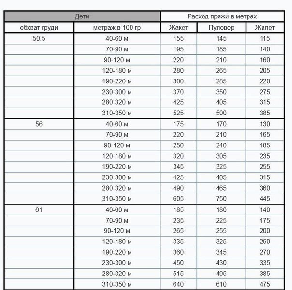
Натолкнулась сегодня на любопытные таблицы.
Как говорится: "за что купила, за то и продаю" :) не знаю на сколько они правдивы, но спасибо тебе, человек, сделавший эту подборку :4u:













Спасибо сказали: Ljusha, laevna, Францевна, ninart, m@rin@yar, тамама, olgaga72, Vera, Nyha, Шанти, людмила58, lydmila822, vivat1960, NataSamara, Pani Yuzya, Nadezda11, irina43rus, jkmuf, gulyakulatka

Пожалуйста Войти или Регистрация, чтобы присоединиться к беседе.

Таблицы размерных сеток 22 нояб 2018 12:54 #26

  • admin
  • admin аватар
  • Не в сети
  • Администратор
  • Администратор
  • Анна
  • Сообщений: 10968
  • Спасибо получено: 13586
таблица размеров перчаток и мерок для вязания перчаток
Вложения:
Спасибо сказали: LazyTa, ninart, Vera, Nyha, Шанти, NataSamara, людмила раца, Акулиша

Пожалуйста Войти или Регистрация, чтобы присоединиться к беседе.

Таблицы размерных сеток 03 янв 2019 21:18 #27

  • admin
  • admin аватар
  • Не в сети
  • Администратор
  • Администратор
  • Анна
  • Сообщений: 10968
  • Спасибо получено: 13586
Уже скоро в мобильном приложении появится новая выкройка - выкройка колготок. Запасаемся шпаргалками.
Вложения:
Спасибо сказали: Ljusha, виринея48, Nyha, Шанти, Лена-Мелена, Monika-72, NataSamara

Пожалуйста Войти или Регистрация, чтобы присоединиться к беседе.

Таблицы размерных сеток 09 янв 2019 16:45 #28

  • Францевна
  • Францевна аватар
  • Не в сети
  • Живу я здесь
  • Живу я здесь
  • тойота 901\506
  • Сообщений: 3832
  • Спасибо получено: 9599
спасибо огромное , это просто:wau: :wau: :wau: клад:jump: :4u:
я Светлана,со мною на ты ,мои помощники тойота 901\506 , Silver Reed 280

Пожалуйста Войти или Регистрация, чтобы присоединиться к беседе.

Таблицы размерных сеток 28 янв 2019 12:54 #29

  • admin
  • admin аватар
  • Не в сети
  • Администратор
  • Администратор
  • Анна
  • Сообщений: 10968
  • Спасибо получено: 13586
Размеры варежек
Вложения:
Спасибо сказали: LazyTa, Nyha, kwiatuszek, NataSamara, Lisa Alisa

Пожалуйста Войти или Регистрация, чтобы присоединиться к беседе.

Таблицы размерных сеток 14 мая 2020 08:50 #30

  • admin
  • admin аватар
  • Не в сети
  • Администратор
  • Администратор
  • Анна
  • Сообщений: 10968
  • Спасибо получено: 13586
Размерные сетки для женщин

Вложения:
Спасибо сказали: LazyTa, Шанти, NataSamara

Пожалуйста Войти или Регистрация, чтобы присоединиться к беседе.

Таблицы размерных сеток 15 мая 2020 08:21 #31

  • admin
  • admin аватар
  • Не в сети
  • Администратор
  • Администратор
  • Анна
  • Сообщений: 10968
  • Спасибо получено: 13586
Размерные сетки для мужчин
Вложения:
Спасибо сказали: LazyTa, ninart, kfhjxrf, NataSamara, ivali, albehla

Пожалуйста Войти или Регистрация, чтобы присоединиться к беседе.

  • Страница:
  • 1
  • 2
Время создания страницы: 0.178 секунд